クラスターメタバース研究所、AIエージェントが新規ユーザーの継続率を2倍以上向上させることを、国際会議「IEEE AIxVR 2026」で発表
5,020名・31日間の実証研究で明らかになった「AIによる関係構築」の有効性、ユーザーエンゲージメント向上の新たな可能性を提示
日本最大級のメタバースプラットフォーム「cluster」を運営するクラスター株式会社(本社:東京都品川区 代表取締役CEO:加藤 直人、以下「クラスター」)の研究機関であるクラスターメタバース研究所は、「cluster」において実施した、LLM(大規模言語モデル)ベースのAIエージェントに関する大規模フィールド研究が、2026年1月26日~28日に開催されたAI/VR/MR技術分野の国際会議「IEEE AIxVR 2026(※1)」で発表されたことをお知らせいたします。

■研究の背景
メタバースプラットフォームは社会的に利用が進んでいるものの、ユーザの定着(リテンション)に課題を抱えており、多くの新規ユーザが初期体験直後に離脱してしまう現状があります。AIエージェント(※2)がユーザー同士のコミュニケーションのきっかけを作ったり、ユーザの適応や定着を促進する可能性は考えられていましたが、これまでの研究は小規模な環境での短期検証に限られ、実際のサービスでの長期的な効果は検証されていませんでした。
■研究の概要
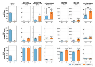
商用メタバース環境における世界初の大規模・長期フィールド研究を実施。「cluster」上で開催されたイベントにおいて、5,020名のユーザーを対象に31日間にわたって「AIエージェントゴーちゃん。」との自然な相互作用を観察しました。
その結果、AIエージェントと接触した新規ユーザーは、接触しなかったユーザーと比較して、利用頻度が約2.1倍、滞在時間が約2.2倍に増加することが統計的に実証されました。また、単発の体験よりも継続的な接触の積み重ねが重要であり、AIとの関係構築が翌日のログイン確率を33.5%向上させることが明らかになりました。
<ユーザーエンゲージメントとAIエージェント接触の時系列変化>

<ユーザータイプ別のAIエージェント効果の比較>


■「AIエージェント ゴーちゃん。」とは
クラスター 社とテレビ朝日CGの共同開発により、メタメタ大作戦2025に初登場。
テレビ朝日が従来より制作していた「AIゴーちゃん。」がクラスター 社の AI Agent Flexを使用した開発により、デジタル空間上のAIエージェントへと進化。
※AIゴーちゃん。https://www.tv-asahi.co.jp/go-chan/contents/news/0057/
※「ゴーちゃん。」はテレビ朝日のマスコットキャラクター
■実用化への展開
本研究成果は、以下のような領域での応用が期待されます。
・カスタマーエンゲージメント向上:AIエージェントによる継続的な関係構築により、サービスの継続利用率を改善
・新規顧客のオンボーディング最適化:初期離脱率の削減と定着率の向上
・バーチャル接客・カスタマーサポート:24時間対応可能なAIエージェントによる顧客体験の向上
・コミュニティ活性化:AIが社会的触媒として機能し、ユーザー間のコミュニケーションを促進
■論文情報
タイトル:Large-scale, Longitudinal Field Study of AI-agent-User Interactions in Commercial Metaverse
発表先:IEEE AIxVR 2026(2026年1月26日~28日、大阪)
論文著者:
廣井裕一(クラスターメタバース研究所)
今井裕貴(クラスター株式会社)
柳川光理(クラスターメタバース研究所/筑波大学)
平木剛史(筑波大学/クラスターメタバース研究所)
※1 IEEE AIxVR 2026について
AIとVR/MR技術の融合に関する国際会議。世界中の研究者が最新の研究成果を発表し、議論する場として開催されています。
https://aivr.science.uu.nl/2026/
※2 AIエージェントについて
AIエージェントとは、人工知能技術を活用して、人間と自然な対話や相互作用を行うことができるバーチャルキャラクターです。本研究では、ChatGPTなどに用いられているLLM(大規模言語モデル)を搭載した「AIゴーちゃん」を実装し、ユーザーとリアルタイムで会話をしながら、メタバース空間の案内や質問への回答、感情表現を行いました。

■クラスターメタバース研究所について
クラスターメタバース研究所は、「人類の創造力を加速する」というクラスター全体の目標を先導します。科学的な知見やプラットフォームに蓄積されるデータをもとに、CV/CG/HCI/VR/BMIおよび、全体をまたぐML領域の研究に取り組み、プラットフォームであるクラスターに短期的・長期的を問わず還元していく成果と、人類全体を前に進めるアカデミックな成果も生み出し、融合していくことを目指しています。
■クラスター株式会社について
クラスター株式会社は、「共創空間のOSをつくる」というビジョンを掲げ、日本最大級のメタバースプラットフォームを開発・運営しています。
独自開発の大規模同時接続基盤を核として、リアルとバーチャルを融合した共創空間インフラを提供。最大10万人が同時接続できる空間は、BtoBプラットフォームとして豊富な実績があります。また、社内研究所ではAI活用やユーザーの行動解析の研究開発も推進し、テクノロジーと創造力で、次世代の社会インフラをつくり続けています。
https://corp.cluster.mu/
▼クラスター株式会社の法人向けビジネスの最前線を知ることができるオウンドメディア
https://metaversebiznews.cluster.mu


























