近畿大学とニチレイフーズが開発した「アセロラぶり®」を本格生産 11月1日(水)からスーパー「ベイシア」全店舗で発売開始!

近畿大学(大阪府東大阪市)と大手食品メーカーでアセロラ事業を手掛けるニチレイフーズ(東京都中央区)は、飼料メーカーと養殖業者の協力を得て、両者が共同開発した「アセロラぶり®」の本格的な生産体制を構築しました。この「アセロラぶり®」を、北関東を中心に食品スーパー約130店舗を展開する株式会社ベイシア(群馬県前橋市:以下、ベイシア)の全店舗※1 で、令和5年(2023年)11月1日(水)から販売します。「アセロラぶり®」は、ニチレイアセロラ商品の生産で生成される副産物のアセロラ搾りかす粉末を配合飼料に加えた餌で仕上げられた養殖ブリで、アセロラ由来の抗酸化ポリフェノールによる「持続する鮮やかな赤身」と、生臭さを徹底的に抑えた「爽やかな味わい」が特徴です。令和3年(2021年)1月にベイシアで試験販売を行い、この度の本格販売にいたりました。今回は、高品質と低価格を両立させたベイシアのプライベートブランド(以下PB)「Beisia Premium(ベイシアプレミアム)」として発売します。
(※1 新座店、津田沼ビート店、ベイシアマートを除きます。)
【本件のポイント】
●近畿大学とニチレイグループが開発した「アセロラぶり®」が、本格的な生産体制を構築
●スーパー「ベイシア」全店舗でPBの「Beisia Premium」として販売
●「持続する鮮やかな赤身」と生臭くない「爽やかな味わい」が特徴
【本件の内容】
養殖ブリは日本を代表する養殖魚ですが、その品質・食味を向上させることは、お客様の満足度を高め養殖ブリの販路を拡大するためにとても大切なことです。そこで近畿大学とニチレイフーズは強い抗酸化作用があるアセロラ副産物を餌に加えることで、ブリを「持続する鮮やかな赤身」で生臭さを極力抑えた「爽やかな味わい」に仕上げました。
ニチレイフーズではアセロラ商品を生産・供給していますが、その際に搾りかすが副産物になります。この搾りかすにはアントシアニン系のポリフェノールと天然由来ビタミンCが多量に含まれており、これをブリの食味と色の改善に役立てようと、平成30年(2018年)から近畿大学と共同研究を開始しました。令和3年(2021年)1月にはスーパー・ベイシアで試験販売を行い、お客様に「養殖魚独特の臭みがない」「赤身が大変鮮やか」と大変高く評価されました。そこからアセロラ副産物の供給ラインを構築し、飼料メーカーの協力を受け、安全性が高く品質が安定する配合飼料EP(Excluded Pellet)の製造体制を構築しました。その上で、養殖生産者と連携し、アセロラ副産物を十分に含んだ(通常に餌添加される量のおよそ10倍量)配合飼料を給餌し、「アセロラぶり®」を商業的に本格生産する体制を構築することができました。

この度、本格生産された「アセロラぶり®」を食品スーパー・ベイシアで販売します。今回の「アセロラぶり®」は、ベイシアのPB「Beisia Premium」として本格販売となります。「Beisia Premium」は高品質と低価格を両立させたPBです。社外の第三者機関での食味検査を行い、カテゴリーの代表的な商品とブラインドで比較し、おいしさなどで勝っている、または同等以上の評価を得たものだけを商品化しており、「アセロラぶり®」もそのプロセスを経て「Beisia Premium」となりました。
ベイシアではすでに近畿大学とニチレイフーズが共同開発した「アセロラ真鯛®」を全店舗で本格販売しており、今後も連携してアセロラ魚をお客様に提供します。
【販売の概要】
販売開始:令和5年(2023年)11月1日(水)~
販売店舗:ベイシア全店舗(新座店、津田沼ビート店、ベイシアマートを除く)
価格等 :サク 100g 498円(税別)
スライス 6切 398円(税別)
生寿司5貫 498円(税別)
【試験データ】
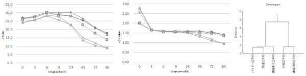
(1)赤身の色調保持期間への効果

活締めし当日フィレ加工したものを真空包装し、冷蔵庫(5℃)で保管した2日後に開封したものをスライスにして、空気にさらす状態で赤身部分の色調変化を記録。色調はLab解析した。a値の経時変化(左図)とa/b値の経時変化(中央図)。パウダー区(●)(アセロラホールパウダーを餌に加えたもの)、残渣区(▲)(アセロラ搾りかすパウダーを餌に加えたもの)、対照区(*)(従来餌)、濃縮果汁区(■)(従来餌EPに濃縮果汁を外添したもの)、濃縮対照区(🔹)(従来餌EP)。右図は各系列a値のCluster分析(Ward法)結果のDendrogram。

開封後、5℃空気暴露状態での保管による変色比較(72時間後)
色調に対しては、アセロラの添加によっておよそ二日間保持できる期間が延びる。
(2)食味検査の結果

■開封直後のパウダー区と対照区に対する官能検査結果
官能検査の結果については、匂いを強く抑えるということが明確になった。被験者のコメントとしては、「さわやかな味」「後味に鉄臭さがない」「旨味がわかりやすい」「渋みがない」「ブリ特有の養殖臭がしない」といったものであった。これらはアセロラの抗酸化作用の結果と考えられる。
【出典】2020年3月日本水産学会報告「養殖ブリに対するアセロラ添加の褐変抑制効果に関する分析」有路昌彦(近大世界経済研)、北河章宏(ニチレイフーズ)、青木仁史(ニチレイフーズ)、花村高行(ニチレイフーズ)、高岡治(近大水研)、谷口直樹(近大水研)、那須敏朗(アーマリン近大)、亀島長治(近大水研)、宮本直樹(食縁)、塚正泰之(近大農)
■アセロラブリと一般的な養殖ブリに対する比較官能検査結果

別途実施した比較官能検査の結果については、上記官能検査結果と同様に「血合い筋の色調が鮮やか」で「生臭さが少ない」という評価になった。これらもアセロラの抗酸化作用の結果と推測される。
【出展】ニチレイフーズ官能検査結果(2021年2月実施)
【近畿大学について】
学長 :細井美彦
所在地:大阪府東大阪市小若江3丁目4番1号
設立 :大正14年(1925年)
【株式会社ニチレイフーズについて】
代表者 :代表取締役社長 竹永雅彦
所在地 :東京都中央区築地6丁目19番20号 ニチレイ東銀座ビル
設立 :平成17年(2005年)
資本金 :15,000百万円
売上高 :275,697百万円(2023年3月期ニチレイフーズグループ連結)
従業員数:11,341人(2023年3月期ニチレイフーズグループ連結)
事業内容:冷凍食品・レトルト食品・缶詰・包装氷等の製造・加工並びにこれらの製品の販売。
ニチレイフーズグループのアセロラ取扱高はグローバルシェアNO.1で、1986年にアセロラドリンクを発売以来、アセロラの持つ効能を研究し続けています。
【株式会社ベイシアについて】
代表者 :代表取締役会長 土屋裕雅
代表取締役社長 相木孝仁
本部所在地:群馬県前橋市亀里町900
営業開始 :平成9年(1997年)3月
資本金 :30億9,950万円
事業内容 :ショッピングセンターチェーンの経営
従業員数 :10,861名(2023年2月末時点)
店舗数 :130店舗
【関連リンク】
世界経済研究所 教授 有路昌彦(アリジマサヒコ)
https://www.kindai.ac.jp/meikan/134-ariji-masahiko.html
水産養殖種苗センター 特命教授 高岡治(タカオカオサム)
https://www.kindai.ac.jp/meikan/2156-takaoka-osamu.html

















