WEBクロール技術によるSEOに関わる企業数の分析調査を実施 SEOに関わる会社は日本全国でおおよそ2,171社が該当 58.8%は関東に存在
この度、株式会社ディテイルクラウドクリエイティブ(代表取締役社長:南雲 宏明)は、株式会社キーウォーカーのWEBクロールサービスを用いて各社ホームページ情報を収集し、日本全国にある企業の中でSEOに関わる企業数について分析調査を行いました。その結果、該当する企業はおおよそ2,171社になり、また、合わせて該当企業ホームページの会社概要に記載されている所在地などの情報から都道府県別・地域別のセグメント分析を行った結果、SEOに関わる会社の58.8%が関東圏に所在するという調査結果が出ましたことをご報告いたします。
 画像001
画像001【調査方法】
株式会社キーウォーカーのサービス「キーウォーカーWEBクローラー」
( http://www.keywalker.co.jp/satori/crawler.html )を用いて、日本全国の企業ホームページ約100万サイトのクローリング調査を行い、会社概要のサービス内容に記載されている情報を解析し、「SEO」または「検索エンジン対策」と記載されている企業を抽出いたしました。
【注意事項】
企業ホームページに掲載されている情報を基にしておりますため、ホームページにおける会社概要のサービス内容に「SEO」または「検索エンジン対策」が記載されていない企業、またはホームページを持っていない企業に関しては含まれておりません。また、企業ホームページ情報は2014年2月に収集を実施しております。
●SEOに関わる会社数(都道府県別)
http://www.atpress.ne.jp/releases/51376/img_51376_1.jpg
http://www.atpress.ne.jp/releases/51376/img_51376_2.jpg
都道府県別でみると、やはり東京都が飛びぬけて集中しておりますが、他に顕著な県としては「大阪府」、「愛知県」、「神奈川県」、「福岡県」など大都市圏が目立ちます。
●SEOに関わる会社数(地域別)
http://www.atpress.ne.jp/releases/51376/img_51376_3.jpg
http://www.atpress.ne.jp/releases/51376/img_51376_4.jpg
該当企業を地域別で仕分けたところ、やはり関東圏が58.8%と過半数を占める形になりました。
なお、このうち東京都単体(おおよそ991社)だけで45.6%を占めております。
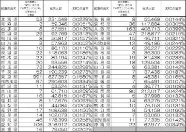
●総企業数のうちSEOに関わる企業の割合(都道府県別)
http://www.atpress.ne.jp/releases/51376/img_51376_5.jpg
http://www.atpress.ne.jp/releases/51376/img_51376_6.jpg
各都道府県別の企業数のうち、SEOに関わる企業の割合を計算した結果、もともと対象企業の多い東京都・大阪府、愛知県・福岡県を除くと、宮城県や沖縄県などが他県に比べて比率が高い傾向にあります。
※各都道府県別の法人数については、総務省統計局による「平成24年経済センサス-活動調査」(2012年)より抜粋しております。
●都道府県別人口との関係(参考情報)
http://www.atpress.ne.jp/releases/51376/img_51376_7.jpg
http://www.atpress.ne.jp/releases/51376/img_51376_8.jpg
各都道府県のSEOに関する企業が、所在している県の人口を基に1社あたり何名を担当することになるのかを算出いたしましたが、周辺県と比べて青森県や福島県、新潟県、島根県、愛媛県、高知県などが目立ちます。
※各都道府県人口については、総務省統計局による人口推計(2013年)より抜粋しております。
【会社概要】
株式会社ディテイルクラウドクリエイティブ
代表者: 代表取締役社長 南雲 宏明
設立 : 2010年7月
所在地: 〒150-0002 東京都渋谷区渋谷2-16-1 Daiwa渋谷宮益坂ビル 1F
URL : http://detail-cc.com/
株式会社ディテイルクラウドクリエイティブは、クラウドを中心とした総合インターネットサービス企業です。seoマスターProfessionalのASP販売を中心に、各企業の社内SEOの向上に努めております。
【seoマスターProfessionalとは】
これまでのSEOの実績とノウハウを凝縮した、SEO業界初のSEO専用ソフトウェアです。seoマスターProfessionalを利用し続けることによって、常に最新の検索アルゴリズムに最適化することができます。
概要は下記URLにてご確認ください。
http://detail-cc.com/seomaster/
【seoマスター無料セミナー】
株式会社ディテイルクラウドクリエイティブでは、「SEO内部施策セミナー」と題しまして「そもそもSEOとは何か」、「検索エンジンは何を基準に検索順位を付けているのか」、そして最後に「seoマスターProfessional」を活用したSEOの内部施策についての無料セミナーを開いております。
詳しくは下記URLよりご覧ください。
http://detail-cc.com/seomaster/seminar.html



























