コロナ禍を経て、不登校の理由が「いじめ」から 「ストレス」に変化。 <プレマシードがコロナ禍の学齢別不登校経験と その理由に関する調査を発表>
通信制高校の紹介サイトGo通信制高校を運営する株式会社プレマシード(本社:東京都渋谷区、代表取締役:岩田 彰人)は、2025年4月8日(火)~17日(木)に「コロナ禍の学齢別不登校経験とその理由に関する調査」を実施しました。
本調査はコロナ禍に「小・中・高校生だった方」と「大学生以上だった方」の計600名を対象に行い、「小・中・高校生」と「大学生以上」に分けて統計を取ることで「コロナ禍によって、それぞれの学齢で不登校の理由がどのように変容したのか」を調査しました。(※1)
Q1. 今までに「学校に行きたくない」と思った理由があればお答えください。※軽度なものを除いてお答えください。(複数回答/n=600)

Q1
学校に行きたくない理由として、不登校経験ありの方は「ストレスによる体調やメンタルの不調」「いじめを除く友人関係」「不安・気分の落ち込み」の割合が高い結果となりました。コロナ禍の学齢不登校経験別で見た場合も、小・中・高校生/不登校経験ありは特に「ストレスによる体調やメンタルの不調」が高く、その割合は55.0%に達しています。
一方、大学生以上/不登校経験ありは「いじめ」「いじめを除く友人関係」「不安・気分の落ち込み」の順になっており、小・中・高校生との違いが見て取れます。
<プレマシード代表 岩田のコメント>
この設問で明らかになったのは、コロナ禍を経て不登校の理由が変わったということです。大学生以上は「いじめ」という周囲から分かりやすい理由で不登校になっていました。しかし、小・中・高校生は「ストレスによる体調やメンタルの不調」が最も高く、親、友人、先生といった身近な人たちもなかなか気付けないものへ変容しています。
子どもたちがストレスを抱えるようになったのは、コロナ禍で生活スタイルやコミュニケーションの在り方が大きく変わったことも一因であるはずです。そして、子どもたちが抱えるストレスに気付けないことが不登校増加の原因になっているのかもしれません。
Q2. 学校に行きたくないと思った経験があると回答した方にお聞きします。その時期をお答えください。※複数ある、もしくは期間がまたがる場合は、最も学校へ行きたくないと思った時期についてお答えください。(単数回答/n=432)

Q2
学校に行きたくないと思った時期について最も高いのは、「中学2年生時」で19.9%でした。次いで「中学1年生時」が13.2%、「高校2年生時」が11.6%、「高校1年生時」が10.9%と続いています。
Q3. 登校スタイルや授業の受け方について、どのような経験がありますか。(単数回答/n=600)

Q3
不登校の定義「病気以外の理由で、1年間に30日以上学校を休んだことがある」は23.5%、「病気以外の理由で、1週間以上連続して学校を休んだことがある」が23.2%でした。
そして、「教室で授業には参加するが、内心『学校に行きたくない』『つらい』『嫌だ』と感じていた」は不登校経験の有無に関わらず50.0%以上いる結果となりました。
<プレマシード代表 岩田のコメント>
学校に行きたくなかった時期として回答が多かった中学2年と高校2年は進路を考える時期であり、中学1年と高校1年は新しい環境に変わった時期です。この回答結果からは、進路や新しい環境への不安が「学校に行きたくない」という感情につながっていることが見て取れます。
また、登校スタイルや授業の受け方に関する経験では「教室で授業には参加するが、内心『学校に行きたくない』『つらい』『嫌だ』と感じていた」が突出する結果となりました。特筆すべきは不登校経験がない方も約40%が同様に感じていたということです。約40%もの方が何かしらのきっかけで不登校になる可能性があり、いまや誰もが不登校になり得る時代だといえるでしょう。
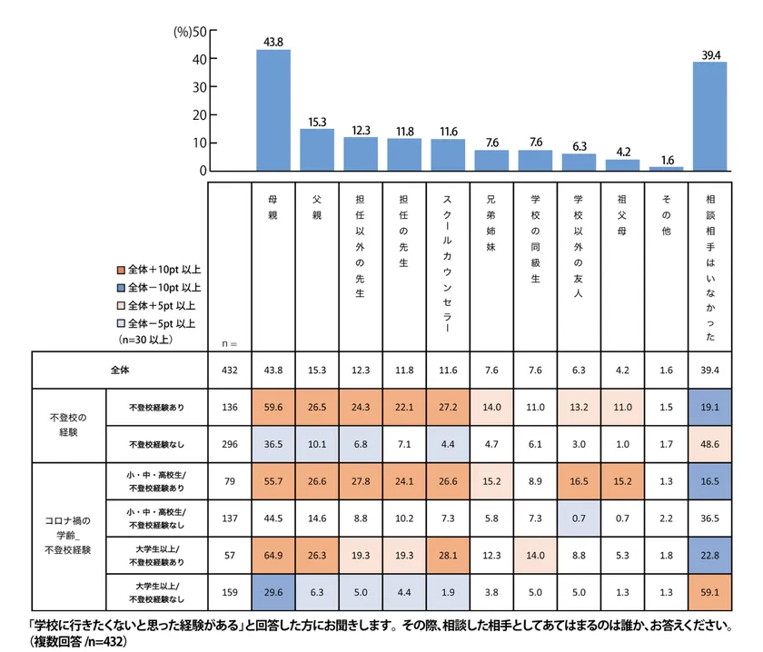
Q4. 「学校に行きたくないと思った経験がある」と回答した方にお聞きします。その際、相談した相手としてあてはまるのは誰か、お答えください。(複数回答/n=432)

Q4
コロナ禍の学齢不登校経験別でみると、大学生以上/不登校経験ありは「母親」が64.9%と圧倒的に高く、次いで「スクールカウンセラー」が28.1%、「父親」が26.3%と続いています。一方、小・中・高校生/不登校経験ありはその3者以外の割合も高く、相談相手が分散している傾向がうかがえます。
Q5. 「病気以外の理由で、1年間に30日以上学校を休んだことがある」と回答した方にお聞きします。その理由としてあてはまるものをQ1.の「学校に行きたくない理由」の中からお答えください。(単数回答/n=136)

Q5
Q1.「学校に行きたくない理由」の回答と同じく、不登校と定義される「1年間に30日以上学校を休んだ理由」も、小・中・高校生/不登校経験ありは「ストレスによる体調やメンタルの不調」、大学生以上/不登校経験ありは「いじめ」が最も高くなりました。
Q6. 「病気以外の理由で1年間に30日以上学校を休んだことがある」と回答した方にお聞きします。その時の過ごし方であてはまるものをお答えください。(複数回答/n=141)

Q6

Q6-2
「自宅でゆっくり休む」が最も高く91.5%となりました。次いで「テレビ視聴」が83.7%、「インターネット・ゲーム・動画視聴など」が71.6%と続いています。
コロナ禍の学齢不登校経験別で見ると、小・中・高校生/不登校経験ありは「SNS」が75.0%と全体の割合を大きく上回りました。また、「学校の授業に沿った学習を進める」「自分に必要な勉強の学習を進める」「将来のことについて考える」「カウンセリングを受ける」といった前向きな行動の割合も総じて高くなっています。
<プレマシード代表 岩田のコメント>
学校に行きたくない時の相談相手は年齢や性別を問わず「母親」がトップでした。ただ、不登校経験がある小・中・高校生は母親以外にも父親、先生、友人、祖父母など多くの身近な人に相談しており、不登校への理解が高まっているため相談しやすい環境がつくられていると言えそうです。
不登校中の過ごし方でも小・中・高校生は勉強を進めたり、将来について考えたり、今後に向けた行動を取っています。不登校になると気分の浮き沈みは当然あるでしょうが、自分の状態を受け入れて前向きに行動するのは良い傾向ではないでしょうか。
Q7. 「病気以外の理由で1年間に30日以上学校を休んだことがある」と回答した方にお聞きします。不登校だったことに引け目を感じることはありますか。(単数回答/n=141)

Q7
「引け目を感じることがある」という回答率は76.6%でした。コロナ禍の学齢不登校経験別では小・中・高校生の割合が高かったです。
Q8. 不登校になった場合、その後復学(休んでいた学校へ復帰)するべきだと思いますか。(単数回答/n=600)

Q8
不登校になった後の復学について最も高いのは「どちらともいえない」で48.7%でした。次いで「わからない」が25.3%、「復学するべきだと思う」が13.3%、「復学するべきではないと思う」が12.7%と続いています。コロナ禍の学齢不登校経験別では、小・中・高校生/不登校経験ありの「復学するべきだと思う」という回答率が22.5%もあり、全体に比べてかなり高い結果となりました。
Q9. Q8のように回答した理由をお答えください。
詳細はプレマシードオフィシャルサイトよりご確認ください。
https://prmaceed.co.jp/solution/report00007/
Q10. 学校へ通えなくなった場合、復学(休んでいた学校へ復帰)ではなく、通信制高校やフリースクールへ通うなどの環境を変えることについて、あなたはどう思いますか。(単数回答/n=600)

Q10
不登校になった後、復学を目指すのではなく環境を変えることについては「とても良いと思う」が22.0%、「良いと思う」が46.0%となり、合計すると68.0%でした。コロナ禍の学齢不登校経験別でみると、小・中・高校生/不登校経験ありは「良いと思う計(とても良いと思う+良いと思う)」の割合が80.0%にのぼり、環境を変えることを好意的に捉えていることが分かります。
Q11. Q10のように回答した理由をお答えください。
詳細はプレマシードオフィシャルサイトよりご確認ください。
https://prmaceed.co.jp/solution/report00007/
Q12. 復学(休んでいた学校へ復帰)をせずに、通信制高校やフリースクールなどで学ぶことは不登校の解決になっていると思いますか。(単数回答/n=600)

Q12
不登校の解決に「なっている」と思う割合は70.7%でした。コロナ禍の学齢不登校経験別でみると、小・中・高校生/不登校経験ありは「なっている」が86.3%もあり、若年層は通信制高校やフリースクールが不登校の受け皿になっていると感じているようです。
<プレマシード代表 岩田のコメント>
Q6.では小・中・高校生が不登校になっても前向きに行動していることが分かりましたが、Q7.では不登校に対して引け目を感じていることも明らかになりました。みんなと同じように学校に通えなくなったことに対して引け目を感じるのは、ある意味当然であり、だからこそ「復学を目指すべき」という回答が増えたのだと思います。
ただ、復学が難しい場合も多く、不登校が長期化すると復学しても単位の都合で進級できないこともあります。環境を変えることは不登校や進級できない状況を脱するとともに、将来に向けた行動でもあるのです。
<調査概要>
調査手法 :ネットリサーチ
対象者条件:【性別】男性、女性
【年齢】15~39歳
【地域】全国
【その他条件】コロナ禍(※1)の学齢が中学生以上
割付 :コロナ禍(※2)の学齢が小中高生だった方(高専生を含む)
コロナ禍(※2)の学齢が小中高生ではなかった方(大学生以上)
各300サンプル
調査期間 :2025年4月8日~4月17日
※1) 調査結果は小数点第二位を切り捨てた数値で表示しています。
※2) 2020年1月~2023年5月
【Go通信制高校】
多様な角度から通信制高校やサポート校、技能連携校、高等専修学校を紹介するポータルサイトです。偏差値や知名度など単なるスペックの比較ではなく、10代の悩みややりたいことは個性としてとらえ、それを解決する学校の個性とのマッチングを目指します。
【オフィシャルサイト】
10代の若者の学びへの価値観や彼らが抱える悩みへの認識には世間との大きなギャップがあります。この問題を解決に導くため、みんなでもっと自由に語りあえるようになれば今よりもちょっとだけ良い世の中になる気がする、そんな思いでさまざまな立場からのリアルな声を届けていきます。
【会社概要】
商号 : 株式会社プレマシード
代表者 : 代表取締役 岩田 彰人
所在地 : 東京都渋谷区神宮前2丁目18-19 the Folks 3B/3F
企業URL: https://prmaceed.co.jp/


















