「D-REX」による新型コロナウイルスの不活化効果を確認 帝京大学との産学連携研究により不活化効果が実証
一般社団法人きょうと官民連携ネットワーク(本社:京都市中京区)は、帝京大学 医療技術学部臨床検査学科 松村 充 准教授との共同研究により、きょうと官民連携ネットワークが開発した、銅イオン、プラチナイオン、酸化チタンを主成分とする抗菌・抗ウイルスコーティング溶液「D-REX(ディーレックス)」が、新型コロナウイルス(感染症名:COVID-19、ウイルス名:SARS-CoV-2)を不活化することが実証されたことを発表いたします。
【研究の目的】
新型コロナウイルスによる感染が社会問題化する中で、この感染リスクを軽減するために、現在のいわゆる消毒・洗浄の方法以外の予防策として、触媒反応を用いた対策が有効ではないかと考え、帝京大学 医学部臨床検査医学 古川 泰司 教授監修のもと、帝京大学 医療技術学部臨床検査学科 松村 充 准教授との共同研究により、その有用性を検証しました。
【実験内容】
安全キャビネット内に設置した3cm四方の試験片(D-REXを塗布し乾燥した布)に、実験対象の新型コロナウイルス液を10μL塗布し、滅菌チューブ内へ入れました。白色蛍光灯下、25℃にて24時間静置しました。静置後、試験片の新型コロナウイルスを検出する方法として、real time PCRによる遺伝子検査法にてウイルス量の変化を測定しました。
【実験結果】
D-REXを塗布した試験片に付着していたウイルス量(RNA成分量からの算出)は24時間後、約10分の1(約90.0%の減少)まで減少しました。このことから本製品を利用することで、新型コロナウイルス量を大幅に減少できることが分かりました。
なお、real time PCRによる遺伝子検査方法は、残存するRNA成分を増幅して高感度で検出する検査方法であり、不活化された新型コロナウイルスのRNA成分を検出している可能性があります。
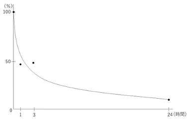
<ウイルス量の変化>
0時間のウイルス量を100%としたときの減少率
https://www.atpress.ne.jp/releases/242253/img_242253_5.jpg
ウイルス量は、0時間の時18,800copyでしたが、24時間後2,140copyまで減少しました。その減少率は約90%でした。
【まとめ】
本研究成果から、D-REXは、学校、病院、多くの方が利用する公共施設等や、飛沫の付着する衣類、人の手が触れる器具・機材などに対する噴霧により、持続的な抗ウイルス効果をもたらすことが可能になると考えられます。なお、D-REXは、多種多様な菌・ウイルスに対する効果が期待できることから、今後、家畜に害を及ぼすウイルス等、多種多様な検証を実施していきます。
【補足】
<抗菌・抗ウイルスコーティング溶液D-REXとは>
人体の必須微量元素であり、粉ミルクにも添加される銅が主成分。さらにプラチナイオン、酸化チタンを配合した、水性の抗菌・抗ウイルスコーティング溶液です。これらの成分は、微生物による発酵という手法を用いてイオン化しています。(製法特許取得済)
D-REXを噴霧し乾燥させることで、物体の表面にイオンの大きさまで細かくなった金属成分が物体の表面をコーティングし、その後に付着した菌やウイルスを不活化し続ける、持続的な抗菌・抗ウイルス効果を発揮します。また噴霧だけでなく、クリーナーや塗料、樹脂、衣類、化粧品等への加工・添加が容易であり、汎用性の広さが大きな特長です。主成分の銅には、すでに様々な菌やウイルスに対する抗菌・抗ウイルス効果が認められており、今後幅広い活用・展開を予定しています。
<D-REXの特長>
・抗菌成分粒子をイオン化することで極限まで細かくし、その表面積を極大化しているため、より効果的に抗菌・抗ウイルス効果を発揮する。
・光触媒と異なり、暗所でも抗菌・抗ウイルス効果を発揮する。
・人体の必須微量元素である銅が主成分であり、より安心・安全に使用できる。
<D-REXの活用事例>
(1) コーティング噴霧

D-REX噴霧の様子

ドローンによるD-REX噴霧
(共に、京都サンガスタジアムでの噴霧)
(2) D-REXスプレー製品
製品名 :持続性抗菌・抗ウイルスD-REXスプレー<ヒノキの香り>
内容量 :100ml
成分 :抗菌成分(銅イオン、プラチナイオン、酸化チタン)、酢酸、香料
小売価格:オープン
*OEM製造も行なっております。

D-REXスプレー製品
<その他開発中の製品一例>
・D-REX配合コーティングクリーナー(塗料会社と共同開発中)
・D-REX配合化粧品(化粧品会社と共同開発中)

QRコード



















