だまし絵風の形状を持つ有機分子による 強い円偏光発光色素材料の開発に成功 ~偏光発光型三次元ディスプレイ材料への応用に期待~

近畿大学理工学部応用化学科の今井 喜胤准教授の研究グループと北里大学理学部化学科の長谷川 真士講師、野島 裕騎大学院生(博士後期課程1年)、真崎 康博教授は、エッシャーのだまし絵などの要素として知られる不可能図形<注1>をモチーフとした発光分子を用いて不斉構造(Chirality)<注2>を設計し、強い円偏光発光(Circularly Polarized Luminescence:CPL)<注3>を示す発光色素を開発しました【図1】。不可能図形は古くから心理学、数学、芸術、建築の領域で題材とされていますが、こうした形状は有機化学的な視点で観察するとキラリティーを持つことがわかります。この点に着目し、二重にねじれた不可能図形のモチーフを発光分子で再現することで、顕著なCPL特性を示す分子の開発に至りました。
新しく合成したこの分子は鮮やかな青色蛍光発光を示し、通常のキラル化合物では達成できない顕著なCPL特性を示します。実際の発光特性を理論計算と合わせて検証したところ、ねじれた化合物の形状全体に励起状態<注4>が非局在化することが強いCPL特性に貢献することを明らかにしました。今回の発見により、未知であったCPLを示す蛍光色素の合理的な分子設計指針が明らかとなり、円偏光有機EL材料に向けた有望な発光分子の開発と、それに続く円偏光を利用した三次元ディスプレイ<注5>の開発が大きく前進します。
本研究成果は、2021年2月11日に欧州化学誌「Chemistry - A European Journal」電子版に掲載され、Hot PaperならびにCover Picture(表紙)に採用されました。
【研究成果のポイント】
◆キラル構造として不可能図形に着目し、だまし絵風のキラル発光分子を合成した。
◆通常の有機分子では達成できない顕著なCPL特性を発現。その原因を明らかにした。
◆この分子設計を利用して円偏光有機EL材料に向けた材料開発が前進。
【背景】
三次元空間に実在すると思わせる投影図だけれども現実には存在し得ない図形を不可能図形(または不可能物体)と言います【図2】。この不可能図形は古くから心理学、数学、芸術、建築の領域で題材にされています。例えばオランダの画家M.C.エッシャーは不可能図形であるペンローズの三角形をモチーフにした絵画「上昇と下降 "Ascending and Descending"」を発表しており、今日、もっとも有名な錯視として知られております。しかしながら、分子の世界で積極的にその形を再現する試みはほとんどなされておりません。不可能図形は有機化学的な視点から見るとキラリティーを持つことがわかります。従って、光との相互作用の観点からユニークな円偏光発光(CPL)を示す分子が設計可能ではないか?と着想しました。不可能図形は三次元空間では実存しないので、分子の世界で再現するためには分子を大きくねじるトリックが必要です。その結果、光の吸収や発光に関わる発色団が不斉構造に固定されて強いCPLが生み出されることを念頭に分子を設計しました。
一般にキラルな構造を持つ有機蛍光色素はCPLを発します。CPLは直接円偏光を発するため、CPLを示す発光素子として利用すればフィルターを必要としない光学デバイス設計が可能となり、内視鏡手術などで利用される三次元ディスプレイへの応用が期待されています。しかしながら、CPLは分子の励起状態に起因する現象であるため、その予測が非常に困難な状況です。従って、優れたCPLを示す分子を開発し構造と物性の相関を明らかにすることは、物質と光の相互作用に関する学理の解明のみならず、実用的なCPL発光材料の設計指針の確立に向けた重要な研究となります。

【研究成果】
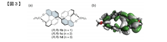
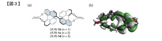
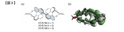
8の字型の不可能図形をモチーフに二重にねじれた分子を合成しました【図3】。発光性のナフタレンユニットを4つ環状に繋げる単純な設計ですが、幾何学的には2箇所のねじれが存在しキラリティーを有しながら三次元空間に実現します。4つのナフタレンの熱振動を制限するために、両サイドから様々なアルキル基で固定した分子を3通り(R体とS体で合計6種類)合成しました。
これらの分子は有機溶媒中で強い蛍光発光を示します。いずれの分子も不可能図形構造に由来した顕著なCPL特性を示すことがわかりました。一般にCPLにおける円偏光度をg値<注6>で表しますが、固定鎖が短い化合物に関しては、通常の有機化合物では達成できないg=0.016を示しました(通常のキラル有機分子では<0.001)。この原因を探るために実測のCPLと理論計算による解析を進めたところ、励起状態において電子がキラル分子全体に広く非局在化することがわかりました。すなわち、不可能図形を元にした剛直な「8の字構造」との設計と、両サイドからの固定の2つの分子設計がCPLの増幅に対し効果的に寄与していることを示します。
今回の研究は新しい分子設計モチーフを利用して優れたCPL材料を開発すると同時にCPLが増幅する原因を実証したものであり、CPLを示す蛍光色素の合理的な分子設計指針の確立に大きく貢献します。今後、円偏光有機EL材料に向けた有望な発光分子の開発と、それに続く円偏光を利用した三次元ディスプレイの開発が大きく前進すると思われます。

【論文情報】
掲載誌:
Chemistry - A European Journal(Hot Paper、Cover Picture(表紙)に採用)
論文名:
Small Figure‐eight Luminophores:Double‐Twisted Tethered Cyclic Binaphthyls Boost Circularly Polarized Luminescence
(小さな「8の字」発光体:二重にねじれた環状ビナフチル分子が円偏光発光を増幅させる)
著 者:
野島 裕騎(北里大学大学院理学研究科博士後期課程1年)、長谷川 真士(北里大学理学部講師、責任著者)、原 伸行(近畿大学大学院総合理工学研究科博士後期課程3年)、今井 喜胤(近畿大学理工学部准教授)、真崎 康博(北里大学理学部教授)
DOI:
10.1002/chem.202005320(論文)
10.1002/chem.202100231(Cover Picture)【図4】
10.1002/chem.202100232(Cover Profile)

【用語解説】
<注1>不可能図形(Impossible Figure)
二次元の図に描写される錯視の一種で、不可能物体(Impossible Object)とも呼ばれる。脳の視覚中枢は図形を三次元の物体として解釈されるが、その幾何学的な形状を注意深く観察すると、それが現実にはありえない図形であるもの。
<注2>不斉構造(Chirality)
不斉(あるいはキラル)とは右手と左手のように鏡像関係にあるもので、このような構造を不斉構造という。
<注3>円偏光発光(Circularly Polarized Luminescence:CPL)
光(自然光)は、右回転と左回転の偏光を等しく(50:50)含んだ光で構成されている。このうち、どちらか一方に回転方向が偏った光を「円偏光」といい、発光現象がどちらかの円偏光に偏りがある場合を円偏光発光という。
<注4>励起状態
分子が取りうる状態のうち、最も低い状態(基底状態)よりも高い状態のこと。通常、光などの外部刺激によって状態が遷移する。
<注5>三次元ディスプレイ(3D Display)
内視鏡手術など三次元表示が欠かせない場面において使用されるディスプレイで、立体視しつつ作業を行う場合に威力を発揮する。偏光フィルターにて液晶ディスプレイからの光を円偏光に変換し、偏光メガネを用いて左右の眼に入る光に視差を生み出すことで三次元構造を再現する。表示素子の進化に併せてより高解像度、より高い立体再現度を持つディスプレイの開発が求められる。
<注6>g値(g-factor)
円偏光発光(CPL)や円二色性スペクトル(CD)などにおいて円偏光の純度を評価するための指標。左回りの円偏光の強度と右回りの円偏光の強度を右記の式で規格化したもの。

本研究は科学研究費補助金 基盤研究(C)(課題番号 JP18K05092)、国立研究開発法人 科学技術振興機構(JST)戦略的創造研究推進事業(CREST)「円偏光発光材料の開発に向けた革新的基盤技術の開発」(課題番号 JPMJCR2001)によって実施されました。また、理論計算は自然科学機構の計算科学研究センターにて実施いたしました。
【関連リンク】
理工学部 応用化学科 准教授 今井 喜胤(イマイ ヨシタネ)
https://www.kindai.ac.jp/meikan/362-imai-yoshitane.html

















