<ニューエイジインク 特許取得のお知らせ> 美白の作用メカニズムに新たな知見 「AGE由来メラニン産生方法及び組成物」特許取得を発表
シミ予防にモリンダ シトリフォリアの種子成分が有用と確認
ニューエイジインク(本社:米国ユタ州、CEO:エド・ブレナン)は、糖化反応およびAGEの蓄積がメラニン産生を促進することで、シミの原因となるメラニン産生を有意に促進させることを世界に先駆けて発見し、その検討方法につきまして、下記の特許(日本国 特許庁登録)を取得し、令和4年7月6日に発表いたしました。
<特許の概要>
特許番号 :7069270
発明の名称:AGE由来メラニン産生方法及び組成物
出願日 :平成28年2月29日
特許取得日:令和4年5月9日
美白の作用メカニズムについて新たな知見を提供することを目的とし、AGEとシミに既知のメカニズムと異なる相互の影響があるのではないかという仮説をもとに、B16F10細胞(B16 murine melanoma cells)を用いて、メラニン促進剤の代わりにさまざまなAGE化されたコラーゲンを添加し、メラニン産生に与える影響を検討いたしました。
本研究でAGE化されたコラーゲンは従来のチロシナーゼ活性によらずメラニン産生が起こることが確認されました。チロシナーゼは紫外線により活性化します。シミ対策には紫外線対策も必要ですが、コラーゲンのAGE化を防ぐことも大切であるということがわかりました。
また、ニューエイジインクでは、AGEによるシミ阻害剤の特許を取得しており(特許番号6779634)、化粧品成分として、モリンダ シトリフォリア種子抽出エキスを用いた製品を販売しています。
本特許に関する詳細は、以下よりご確認いただけます
※特許権者は申請当時の社名
<ご参考>
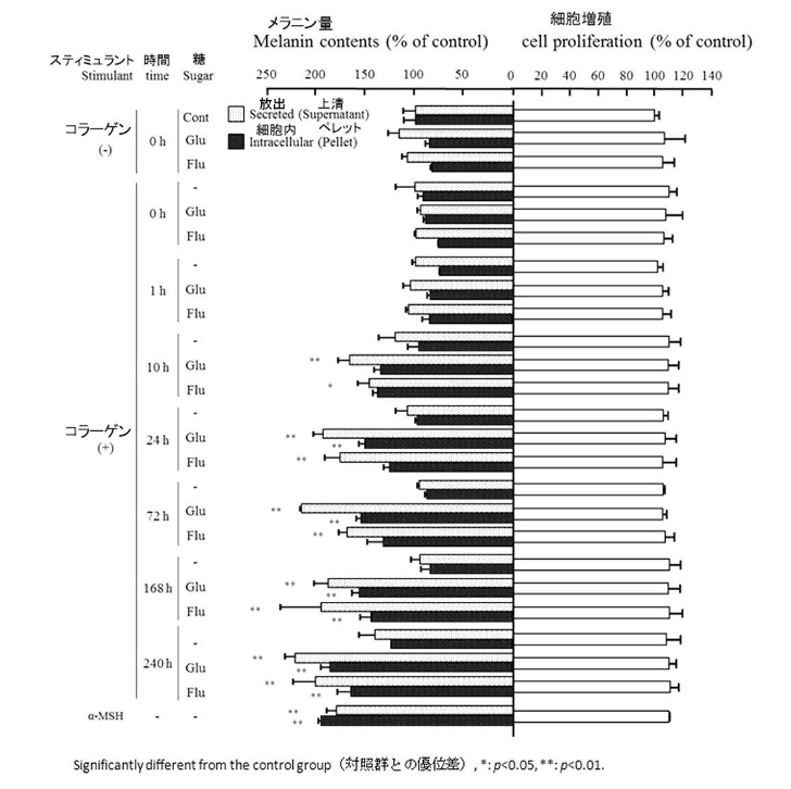
■AGE化コラーゲンのB16F10細胞におけるメラニン産生に与える影響
B16F10細胞にコラーゲンと糖を添加し培養すると培養開始10時間以降、メラニン産生が有意に起こりました。このことからコラーゲンと糖でAGE化されたコラーゲンが刺激となり、メラニン産生が起こったと考えられます。

AGE化コラーゲンのB16F10細胞におけるメラニン産生に与える影響
<特許請求の範囲>
【請求項1】
グルコース又はフルクトースによりAGE化されたI型コラーゲンからなる、チロシナーゼを活性化しない、メラニン産生用組成物。
【請求項2】
メチルグリオキサール、グリオキサール、3-デオキシグルコソンのいずれかを少なくとも1種以上含むことを特徴とする請求項1に記載のAGE由来メラニン産生用組成物。
【請求項3】
請求項1または2に記載の組成物を含有するメラニン産生剤。
【請求項4】
グルコース又はフルクトースによりAGE化されたI型コラーゲンをB16細胞に添加することからなる、チロシナーゼを活性化しない、メラニン産生方法。
<AGE(終末糖化産物)とは>
AGEとは終末糖化産物(Advanced Glycation End Products)、すなわち「タンパク質と糖が加熱されてできた物質」のこと。老化を進める原因物質とされています。
<シミのできるメカニズム>
皮膚に紫外線や炎症などのストレス刺激が加わると、表皮に存在するケラチノサイトより、メラニン産生を促進するサイトカイン等が分泌されます。それらの刺激により、メラノサイトが活性化され、メラニンが合成されることでシミやシワができることが知られています。したがって、メラニン産生阻害することがシミ防止へとつながります。
<ニューエイジグループについて>
ニューエイジインク(米国ユタ州、NASDAQ:NBEV)が束ねるニューエイジグループは、「“健康的に生きる”よう人々を鼓舞する」ことを目的に掲げ、世界50ヵ国以上で40万人以上の会員とブランドパートナーのネットワークにより、健康とウェルネス、内面と外見的な美しさ、栄養補給&ウエイトマネジメントの3つのプラットフォームを基本としたブランド製品を展開しています。日本ではニューエイジ、ARIIX、ゼンノア、アライヴンがニューエイジグループとして協働体制を構築しながら市場拡大を目指しています。
公式サイト: https://newagegroup.com/

















