複数の有用菌の共培養で多様なアレンジが可能! 効率よく安全なエクオール等機能性腸内代謝物の製造法を確立 ~日本農芸化学会2022年度大会トピックス賞受賞~
株式会社ダイセル(本社:大阪市北区)は、嫌気性発酵技術による健康食品素材の製造過程において、発酵槽に水素を供給することなく、効率よく安全に(S)-エクオール等の機能性腸内代謝物素材の製造を可能にする方法を確立しました。当社は本手法について日本農芸化学会2022年度大会で発表し、トピックス賞を受賞しました。(詳細は別紙参照)
■発表の背景、概要

大豆
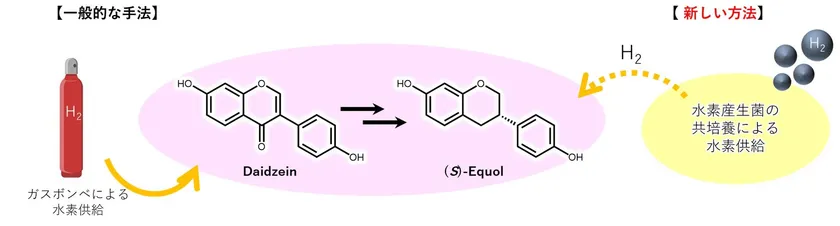
機能性健康食品成分の中には、そのまま吸収されて機能を発揮するのではなく、腸内細菌による代謝を受けることでより機能性の高い成分に変化するものがあります。当社は、これまで培った嫌気性発酵技術により、人の腸内で起こる代謝を工業的に再現し、機能性食品素材として活用可能な腸内代謝物素材を開発してきました。2021年に発売したウロリチンAの製造工程開発で得られた知見をもとに、腸内細菌による代謝に水素を要する腸内代謝物(例、(S)-エクオール)の生産において、水素を生成する有用菌と共培養することでより効率良く、安全な製造方法の開発に成功しました。
発酵生産に水素ガスを用いることは工業生産において安全管理上および設備上の課題がありましたが、今回報告した共培養システムを利用することにより、水素ガスを用いることなく一般的な発酵設備における工業生産が可能となります。当社は発酵技術を用いた機能性健康食品をより身近なものとすることで、皆様の健康に貢献していきます。
【別紙】
■日本農芸化学会2022年度大会(京都)( https://www.jsbba.or.jp/2022/ )
開催日時:2022年3月15日(火)~3月18日(金) オンライン開催
■発表演題名
複合微生物系による機能性代謝物の生産に関する研究(1)
- 水素生産菌を利用したエクオール発酵生産 -
■発表者
株式会社ダイセル 事業創出本部 事業創出センター
○千葉 夏乃、濱川 匡史、山本 侑平、中島 賢則、山本 浩明
■発表要旨
機能性食品素材の中には食品成分が腸内で代謝され、より高機能な腸内代謝物に変換されることで効能を発揮するという報告が近年増加している。腸内代謝においては、高い嫌気度や水素が重要な役割を有し、工業的な機能性代謝物の生産では系外からの水素供給が課題となっている。
我々はこれまでにエラグ酸からその機能性ポリフェノールであるウロリチンAへの代謝に少なくとも2種類の腸内細菌が関与することを見出し、複合微生物系によるウロリチンAの工業的生産方法について報告してきた。このウロリチンA生産では、反応に水素を必要とする微生物に対してもう一方の微生物が水素を生産・供給することにより、外部からの水素供給なしにウロリチンAの生産が可能となった。本研究では、代謝反応に水素を必要とするエクオール生産菌と、ウロリチンAの製法開発で見出された水素生産菌を共培養するエクオール生産システムを構築し、水素の供給を不要とする生産システムを構築した。

生産方法
■トピックス賞について
日本農芸化学会トピックス賞は、公益社団法人日本農芸化学会が主催する「日本農芸化学会」年次大会で公表される、学術的または社会的にインパクトのある内容を含む発表に授与される賞です。




























