自社開発【ジンコウ葉】、産官学連携で「便通改善」効果判明 素材使用の2商品が機能性表示食品として届出受理
ジンコウ葉の有効成分、おなかに優しく自然に便通を改善
健康食品受託のアピ株式会社(本社:岐阜市、代表取締役社長:野々垣 孝彦)は、自社開発素材「ジンコウ葉」を使用した機能性表示食品「快腸週間」「快腸週間EX」が届出受理されたことをお知らせします。

沈香木
■「香木の王様」が便通を改善?【ジンコウ葉】
「ジンコウ葉」とは、お香の原料である植物「沈香木(じんこうぼく)」の葉のことです。古来から沈香木は、金よりも高値で取引されることもあるほど、最上級のお香の原料として珍重されてきました。この沈香木、実は、お香として使われる幹の部分だけではなく、葉にも大きな可能性が秘められていました。
タイ王国の人々の「沈香木の葉をお茶にして飲むと健康になれる」という古くからの言い伝えをヒントにして、岐阜薬科大学との産官学連携プロジェクトがスタート。科学技術振興機構(JST)の独創的シーズ展開事業委託開発に採択され、4年間にもおよぶ研究を続けた結果、ジンコウ葉には、つらい便秘の解消に効果があることがわかったのです。
■機能性表示食品
長年にわたるジンコウ葉の研究の成果として、このたび機能性表示食品2品が消費者庁に届出受理されました。原料には、タイの契約農園で栽培したジンコウ葉を使用しています。
機能性表示食品:『快腸週間』(D672)、『快腸週間EX』(D675)
<届出表示>
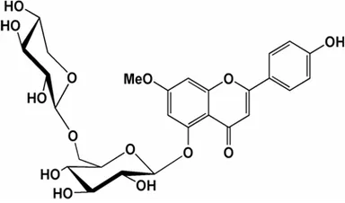
本品にはゲンクワニン5-O-β-プリメベロシド、マンギフェリンが含まれます。
ゲンクワニン5-O-β-プリメベロシド、マンギフェリンには、便秘気味の方の便通を改善する機能があることが報告されています。
■おなかにやさしく便通を改善する「ゲンクワニン5-O-β-プリメベロシド」「マンギフェリン」
従来の便秘改善薬の多くは刺激性下剤であり、腹痛や下痢などの副作用を持つものがあります。一方、ジンコウ葉の有効成分「ゲンクワニン5-O-β-プリメベロシド」「マンギフェリン」は、小腸の蠕動運動を穏やかに促進することで自然に便通を改善していきます。その高い効果はヒト臨床試験や複数の薬理試験で証明されています。また、「緩下剤及びこれを含む食品」として特許(第5187802号)も取得しています。
■みんなで考えよう「便秘」
便秘は若い女性がなるもの、というイメージが強いですが、近年は幅広い年代で悩む人が増えてきています。高齢になるほど便秘になる人は増える一方、「子どもの便秘」も見逃せません。2017年の日本トイレ研究所の調査によると、小学生の6人に1人が便秘状態であり、さらに便秘の小学生のうち約半数が誰にも相談したことがないということが判明しました。
よくあることと軽く見られがちな症状ですが、放っておくと様々な病気につながる危険性があります。大人から子どもまで、自分に合った便秘対策を見つけることが大切です。
アピ株式会社は、世代を問わず多くの人の悩みの種である「便秘」を解決するため、これからも安全・安心な健康素材の研究開発に積極的に取り組んでまいります。
「ジンコウ葉」を活用した製品開発について、是非お気軽にお問い合わせください。
【参考】
小学生の排便と生活習慣に関する調査(日本トイレ研究所)
https://www.toilet.or.jp/wp/wp-content/uploads/2017/11/activities03.pdf
平成28年 国民生活基礎調査の概況(厚生労働省)
https://www.mhlw.go.jp/toukei/saikin/hw/k-tyosa/k-tyosa16/index.html
Jpn Pharmacol Ther(薬理と治療) vol.45 no.1(2017)
■アピ株式会社
健康食品受託の最大手。一貫生産体制の自社工場を活用し、錠剤・カプセル・瓶・リトルPET・ブローパックまで、あらゆる剤型でのOEM供給に対応しています。
代表者:野々垣 孝彦
所在地:岐阜市加納桜田町1-1
























