健康食品に使用される有機ゲルマニウムの鎮痛作用メカニズムを解明 難治性疼痛治療薬開発への応用に期待

近畿大学薬学部(大阪府東大阪市)医療薬学科病態薬理学研究室教授 川畑 篤史、准教授 関口 富美子、講師 坪田 真帆、同有機薬化学研究室教授 田邉 元三、株式会社浅井ゲルマニウム研究所(北海道函館市)島田 康弘、中村 宜司、山形大学大学院医学系研究科(山形県山形市)創薬科学講座教授 山口 浩明らの研究グループは、健康食品として市販されている有機ゲルマニウムが、生体内で知覚神経を興奮させる作用のある硫化物※1 を捕捉することで、鎮痛作用をもたらすことを明らかにしました。本研究により、様々な生理活性を有する有機ゲルマニウムの作用メカニズムの一端が解明され、今後、難治性疼痛※2 治療薬として応用できる可能性が示唆されました。
本研究成果は、令和4年(2022年)12月15日(木)、オランダの権威ある国際学術誌"Redox Biology"にオンライン掲載されました。
【本件のポイント】
●有機ゲルマニウムが硫化物と直接反応して、知覚神経を興奮させる作用のある硫化物を捕捉することを解明
●硫化物が原因で発生する体性痛および内臓痛に対して、有機ゲルマニウムが抑制効果を示すことを確認
●本研究成果により、硫化物が引き起こす様々な難治性疼痛の治療薬として、有機ゲルマニウムが応用できる可能性
【研究の背景】
有機ゲルマニウムは、鎮痛、免疫賦活、抗炎症といった効果をもたらし、がんや慢性肝炎などいくつかの病気に対して治療効果があることが知られています。健康食品や化粧品として一般に発売されていますが、どのように効果をもたらすかは未解明な部分が多く、メカニズムの解明が求められています。近畿大学薬学部医療薬学科病態薬理学研究室では、先行研究で難治性疼痛の発症メカニズムを解明しており、そのなかで硫化物によるT型カルシウムチャネル※3 (Cav3.2)の活性上昇が、発症に関与することを明らかにしています。その成果をふまえ、有機ゲルマニウムが硫化物と反応することで鎮痛効果をもたらすのではないかという仮説をたて、浅井ゲルマニウム研究所、山形大学医学部と共同研究を進めてきました。
【本件の内容】
研究グループは、まず、有機ゲルマニウムの加水分解物※4 (THGP)が硫化物と反応して、硫黄を取り込んだ反応生成物を生じることを構造解析により明らかにしました。また、硫化物によるT型カルシウムチャネルの活性上昇をTHGPが抑制することを電気生理学的研究により証明しました。これにより、有機ゲルマニウムが硫化物を捕捉し、T型カルシウムチャネルの活性上昇を抑制していることが示唆されました。
さらに、マウスにおいて、硫化物を注射した場合に生じる痛みや、体内で硫化物が過剰に産生されることで生じる膀胱炎や膵炎に伴う内臓痛に対して、THGPは強力な抑制作用を示すことを明らかにしました。
これらの結果より、加水分解された有機ゲルマニウムは、硫化物によるT型カルシウムチャネルの活性上昇が原因で起こる様々な痛みを抑制することが明らかとなり、難治性疼痛の治療薬として有用である可能性が示唆されました。
【論文掲載】
掲載誌:Redox Biology(インパクトファクター: 10.787@2022)
論文名:
A hydrolysate of poly-trans-[(2-carboxyethyl)germases-quioxane] (Ge-132) suppresses Cav3.2-dependent pain by sequestering exogenous and endogenous sulfide
(Poly-trans-[(2-carboxyethyl)germasesquioxane] (Ge-132)の加水分解物は外来性および内因性硫化物を捕捉することでCav3.2依存性疼痛を抑制する)
著者 :
関口 富美子1、小池 寧々1、島田 康弘2、杉本 果歩1、増田 寛志1、中村 宜司2、山口 浩明3、田邉 元三4、丸本 真輔5、笠波 嘉人1、坪田 真帆1、大久保 つや子6、吉田 繁7、川畑 篤史1
所属 :
1 近畿大学薬学部医療薬学科病態薬理学研究室、2 株式会社浅井ゲルマニウム研究所、3 山形大学大学院医学系研究科創薬科学講座、4 近畿大学薬学部医療薬学科有機薬化学研究室、5 近畿大学共同利用センター、6 福岡看護大学基礎・基礎看護部門、7 近畿大学理工学部生命科学科
【研究の詳細】
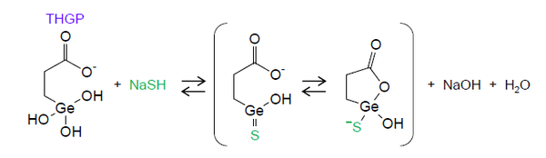
研究グループは、ゲルマニウムが硫黄と高い親和性を有することに着目し、痛みの発現に関与する気体メディエーター※5 のH2Sと反応することで作用する可能性について検討しました。まず、有機ゲルマニウム化合物(poly-trans-[(2-carboxyethyl)germasesquioxane]、Ge-132;アサイゲルマニウム)の加水分解物である3-(trihydroxygermyl)propanoic acid(THGP)と、H2S 供与体※6 である硫化物NaSHを混和し、反応生成物の構造解析を行ったところ、THGPからOH基が2つ取れ、Geに硫黄が1つ結合した化合物が生成されることがわかりました(図1)。

H2Sは哺乳類の生体内において、L-システインからシスタチオニン-γ-リアーゼ(CSE)などの酵素により産生されますが、炎症などが発生した病的状態ではCSEの発現が増加し、過剰に産生されたH2Sが、痛みを伝える知覚神経のT型カルシウムチャネルCav3.2の活性を促進し、神経の興奮性を高めて痛みを引き起こします。そこで、Cav3.2の遺伝子を導入してタンパクを発現させた細胞を用いてTHGPの効果を調べたところ、硫化物のNa2SによってT型カルシウムチャネル依存性電流(T-current)が増大し、THGPはこれを顕著に抑制しました(図2)。

マウスにおいて、Na2Sを足底内に投与し発生させた痛みは、THGPの前投与により有意に抑制されました(図3A)。また、CSEの発現誘導によってH2Sが過剰に産生され、知覚神経のCav3.2活性が上昇した状態にあるシクロホスファミド(CPA)誘起膀胱炎モデルマウスにおける膀胱痛様行動(図3B)や、セルレイン誘起膵炎モデルマウスにおける腹部関連痛覚過敏(図3C)に対しても、THGP投与は顕著な抑制効果を示しました。

以上の結果より、有機ゲルマニウムGe-132は、THGPに加水分解された後、硫化物を捕捉することでCav3.2の活性亢進が関与する様々な痛みを抑制することが明らかとなり、難治性疼痛の治療薬として極めて有用であることが示唆されました。
【研究者のコメント】
川畑 篤史(かわばた あつふみ)
所属 :近畿大学薬学部医療薬学科
職位 :教授
学位 :博士(薬学)
コメント:がんの痛みはモルヒネなどの麻薬性鎮痛薬で抑制することができますが、モルヒネがあまり効かない神経障害性疼痛や特殊な内臓痛に対する治療薬の開発が喫緊の課題となっています。私達は、ある種の難治性疼痛の発症に生体内で産生される硫化物(硫化水素ガスなど)によって誘発される知覚神経の過剰興奮が関与することを明らかにしてきました。今回の論文では、有機ゲルマニウムがこの硫化物を捕捉することで痛みを抑制できることを証明し、難治性疼痛の治療薬として応用できる可能性を示唆しました。
【用語解説】
※1 硫化物:硫黄化合物のうち硫黄原子が最低酸化数である-2を持つものの総称。水溶液中では加水分解して硫化水素イオンHS-として存在する。
※2 難治性疼痛:モルヒネなどの麻薬性鎮痛薬でも抑えることができない、難治性の痛み。末梢から脳まで伝達する神経の間に障害が起こった際に生じる。
※3 T型カルシウムチャネル:細胞膜に存在するカルシウムイオンが細胞内に流入する経路の一つで、膜電位(電圧)が少し上昇するだけで開口し、神経細胞などを興奮させる。
※4 加水分解物:化合物に水が反応して得られた分解生成物。
※5 気体メディエータ―:生体の中で産生されるガス状物質で、細胞内あるいは細胞間の情報伝達を担っているもの。H2S以外にNO、COなどが知られている。
※6 H2S供与体:生体内や溶液中でH2Sを産生する物質。
【関連リンク】
薬学部 医療薬学科 教授 川畑 篤史(カワバタ アツフミ)
https://www.kindai.ac.jp/meikan/564-kawabata-atsufumi.html
薬学部 医療薬学科 准教授 関口 富美子(セキグチ フミコ)
https://www.kindai.ac.jp/meikan/647-sekiguchi-fumiko.html
薬学部 医療薬学科 講師 坪田 真帆(ツボタ マホ)
https://www.kindai.ac.jp/meikan/740-tsubota-maho.html
薬学部 医療薬学科 教授 田邉 元三(タナベ ゲンゾウ)
https://www.kindai.ac.jp/meikan/354-tanabe-genzou.html
共同利用センター 講師 丸本 真輔(マルモト シンスケ)
https://www.kindai.ac.jp/meikan/383-marumoto-shinsuke.html

















