【グリセリンフリー】名前に「グリセリン」がつく成分はグリセリン?見分けるコツを医学博士が解説
本記事では、グリセリンが苦手な方や表示名で混乱する方向けに、名称に「グリセリン」を含む成分の違いと、ニキビや敏感肌への影響の見分け方を医学博士が解説します。
グリセリンフリーの化粧品選びにもご活用ください。
解説:医学博士 高岡(セラミド化粧品 シェルシュール開発者)
名称に「グリセリン」があればグリセリンの一種?

名前に「グリセリン」とつく成分はたくさんあります。
例)
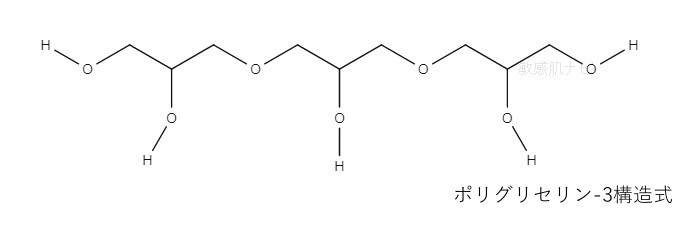
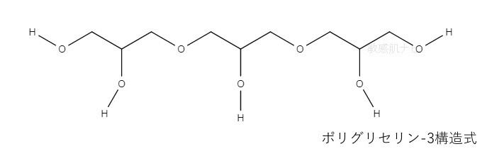
・ポリグリセリン-3
・エチルヘキシルグリセリン
グリセリンは比較的単純な構造の化学物質で、他の物質を結合して、全く別の物質を合成するということはよくあります。
化学物質の構造による分類はありますが、どこからどこまでを「一種」や「仲間」と呼べるかの明確な定義はありません。
本記事は化学構造・性質・使用目的を踏まえた筆者の見解をお伝えします。
読者の関心が「その成分がアクネ菌の餌になるか」「ニキビを悪化させるか」にあることが多いため、そうした点も含めて各成分を解説します。

これってグリセリンの一種?
① 「ポリグリセリン-3」はグリセリンの一種?

結論:ポリグリセリン-3は、グリセリンの一種と捉えて差し支えないと考えられます。
グリセリンが3つつながった構造で、「厳密には別物」ですが、保湿という点ではよく似ているため一応グリセリンの一種といえるでしょう。
ただし、グリセリンほどアクネ菌の餌にはならないと考えられます。
ただし、化粧品は他成分配合のため、その中の1種類がアクネ菌の餌になりにくいからといって、ニキビができない、悪化しないとは限りません。
② 「エチルヘキシルグリセリン」はグリセリンの一種?

結論:エチルヘキシルグリセリンは、グリセリンとは別物です。
名称に「グリセリン」が含まれますが、化学構造や性状は異なり、グリセリンのような保湿効果はなく、抗菌効果があるため防腐剤の補助目的で微量配合されます。
つまり、アクネ菌の餌にはなりません。
繰り返しますが、化粧品は多くの成分が配合されているため、ある成分がアクネ菌の餌になりにくいからといって、ニキビができない・悪化しないとは限りません。
③ 「ステアリン酸グリセリル」はグリセリンの一種?

結論:ステアリン酸グリセリルはグリセリンとは全く別物で、界面活性剤の一種です。
グリセリンにステアリン酸が結合したもので、非イオン界面活性剤で、グリセリンとは性状が異なります。
類似表記のもの(例:〜酸グリセリル、〜酸ポリグリセリル等)も、グリセリンとは全く別物で、界面活性剤の一種です。
アクネ菌の餌にならないとは断言できませんが、この成分単体でニキビができやすいかどうかはあまり心配しなくてよいと考えてます。
④ 「トリグリセリド」はグリセリンの一種?

結論:トリグリセリドはグリセリンとは全く別物で、油脂の一種です。
植物油の主成分や皮脂の構成成分の1つで、グリセリンに脂肪酸が3つ結合した構造ものです。
油脂であるためアクネ菌のエサになり得ますが、だからといって必ずしもニキビになるわけではありません。
なお、トリグリセリドは皮膚上で分解されて脂肪酸とグリセリンが生成されるため、グリセリンがお肌に合わない方は、念のためご注意ください。
グリセリン表記の成分:要点まとめ
「グリセリン」「グリセリド」「グリセリル」と紛らわしいですが、要点は以下のとおりです。
【グリセリンと紛らわしい成分名】
① ポリグリセリン-3:グリセリンの一種。グリセリンほどアクネ菌のエサにはなりにくいと推測。
② エチルヘキシルグリセリン:グリセリンではない(抗菌剤)。アクネ菌のエサにならない。
③ ステアリン酸グリセリル:グリセリンではない(界面活性剤)。アクネ菌のエサにならない。
④ トリグリセリド:グリセリンではない(油脂の一種)。アクネ菌のエサになる。
グリセリンフリーを選ぶ目的は、ニキビになりやすさやアクネ菌の餌になるかどうかではなく、使用感や肌との相性で決めていただきたいと思います。
アクネ菌は皮膚の常在菌で、異常増殖しない限り害はなく、中にはニキビを起こさない種もいるため、アクネ菌の餌になることとニキビは必ずしも同義ではないことを覚えておいてください。
さらに詳しい解説や、「敏感肌ナビ」でご確認ください。」

創業者/開発者 髙岡 幸二
大阪府出身。神戸大学卒。医学博士。
元神戸大学バイオシグナル研究員。
元奈良女子大学非常勤講師・バイオテクノロジーの研究員。
化粧品・健康食品の開発。
2024年10月に、サンエス石膏株式会社のグループに参画。
会社名 :有限会社DSR
代表者 :宮竹 二郎
本社所在地 :大阪府吹田市江坂町1-23-101大同生命江坂ビル13階
設立 :2002年12月4日
事業内容 :化粧品の開発、製造、販売
資本金 :300万円
URL :https://dsr-skincare.jp/

敏感肌ナビ
敏感肌,脂漏性皮膚炎,酒さ,ニキビのスキンケア情報を発信
https://dsr-skincare.jp/blog/

DSRオンラインショップ
敏感肌のためのセラミド化粧品「シェルシュール」、敏感肌がときめくセラミド化粧品「ノーブルヒル」の2つの自社ブランドを販売
https://www.dsr-co.jp/

【DSR公式Amazonストア】
シェルシュールやノーブルヒルの一部商品を取り扱い
https://www.amazon.co.jp/stores/page/B3C6F6FF-A393-4A53-811D-8FB66F5A0AAA











