抗ウイルス作用のVBに新展開 VBの主成分による皮膚に対する抗老化作用を確認
~共著論文がスイス MDPI社の学術誌『Applied Sciences』に採択されました~
「おしぼり」のレンタル・企画開発を手がけるFSX株式会社(所在地:東京都国立市泉1-12-3、代表取締役社長:藤波 克之、以下 FSX)は、抗ウイルス・抗菌活性を有する『VB(ブイビー)』の主成分である2つのポリ酸(VB2/VB3=VB化合物)の高い適応性と汎用性を追求するため、皮膚に対する抗老化作用の検証を行いました。藤波克之が筆頭著者である共著論文『ポリオキソメタレートによる皮膚抗老化作用』が、MDPI社(スイス バーゼル)の学術誌『Applied Sciences』に採択されましたのでお知らせいたします。
FSXでは2012年に、遷移金属元素の酸化物クラスターであるポリオキソメタレート(ポリ酸)を主成分とした、耐性株を誘導しない安心安全な抗菌・抗ウイルス活性物質『VB(特許第6739772号)』の開発に成功し、その技術を衛生用品のおしぼりに応用してまいりました。感染性ウイルスの流行により、抗ウイルス技術が注目されるなか、ポリ酸は抗ウイルス作用にとどまらず、人の健康に資する皮膚への抗老化作用が期待できる物質であることが、本研究により強く示唆されました。
ポストコロナ時代を見据え、FSXでは引き続き『VB』の生活環境への適応を目的とした応用研究を深め、ヘルスサイエンス領域における新しい事業展開や製品開発を通じて、おしぼりの価値を高める持続的成長を目指してまいります。
本研究の成果ポイント
#皮膚線維芽細胞を用いて、抗ウイルス活性化合物である2種のVB化合物(VB2/VB3)のAGEs(糖化最終産物)刺激及び、H2O2(過酸化水素水)による酸化ストレス反応を検証したところ、VB2、VB3ともに多面的に抗糖化・抗酸化作用が認められ、皮膚に対する抗老化作用が示された。
#VB化合物は、AGEsの分解・除去に関わるAGE受容体のレベルを上昇させ、細胞を保護するHsp(ヒートショックプロテイン)の発現を増加させた。また老化作用の原因物質となるROS(活性酸素)の抑制及び、SOD(活性酸素を分解する酵素)の消失を回復させる効果が認められた。
#正常な皮膚線維芽細胞にVB化合物を単独で添加した場合には、細胞内に大きな変化は見られなかった一方で、AGEs刺激や酸化ストレスが付加された際には、抗老化につながる働きが発現した。ストレスを受ける環境下において、VB2、VB3には細胞をサポートする作用があることが示唆された。
#酸化ストレスを与える前後でそれぞれVB化合物を添加し、効果のタイミングを検証したところ、<細胞生存率><活性酸素の生成>において、ストレス前に添加した方が、ストレス後に添加するより、効果がより強く、濃度依存的に有意な効果を示した。予め添加することで、VB2、VB3は予防的に使えることが示唆された。
参考資料
掲載ジャーナル: スイス バーゼル MDPI社『Applied Sciences』 F2.679
論文掲載 : applsci-1476622 (doi: 10.3390/app112411948)
論文掲載 URL : https://www.mdpi.com/2076-3417/11/24/11948/htm
論文タイトル : Anti-aging effects of Polyoxometalates on skin
ポリオキソメタレートによる皮膚抗老化作用
藤波克之 1,2、團克昭 3、香川(田中)聡子 2、河村伊久雄 2
1:FSX株式会社
2:横浜薬科大学
3:生物活性研究機構 研究開発部門
要旨
炎症や糖による過剰な活性酸素の生成は、体内に様々な老化現象を及ぼすことが知られている。それゆえ、活性酸素の発生を抑える事で、肌のしわや黄斑やくすみ、たるみを予防する事ができるかもしれない。2つのポリ酸(VB2/VB3=VB化合物)の肌に対する抗老化作用を評価する為、今回の研究では、VBがヒト皮膚繊維芽細胞において、糖化最終産物(AGEs)や過酸化水素(H2O2)の酸化ストレス暴露による抗老化反応をどれほど回復させるのかを調査した。 AGE単独で暴露させた際の細胞におけるAGE受容体のmRNA発現レベルと比較して、VB2、VB3を加えた実験では、AGEの受容体(FEEL-1,FEEL-2,RAGE)の発現レベルは非常に多くの増加を示した。さらにヒートショックプロテイン(Hsp)でも、単独で暴露させた際と比較して、5つのHspではmRNAの発現レベルが著しく増加した。VB化合物は、細胞死及びROS(活性酸素)の生成を抑制した。またVB化合物は、ストレス環境下において、これらの有害な作用を予防する効果もあった。さらに、H2O2の暴露により引き起こされる「AQP-1,AQP-3の発現抑制」及び、「ヒアルロン酸やエラスチンの生成減少」を予防する事が分かった。これらの研究の結果から、VB2、VB3は潜在的に抗老化作用を有している事を示した。
以下、掲載論文内容より、臨床試験部分の内容の一部を紹介します
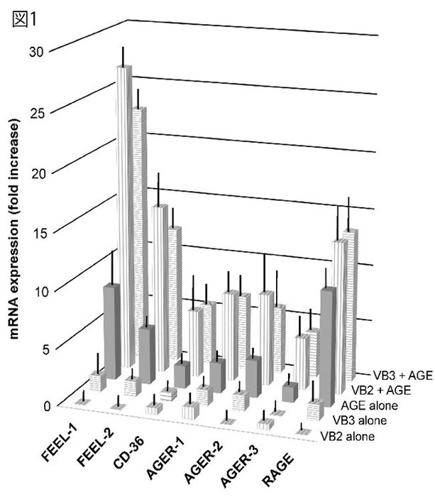
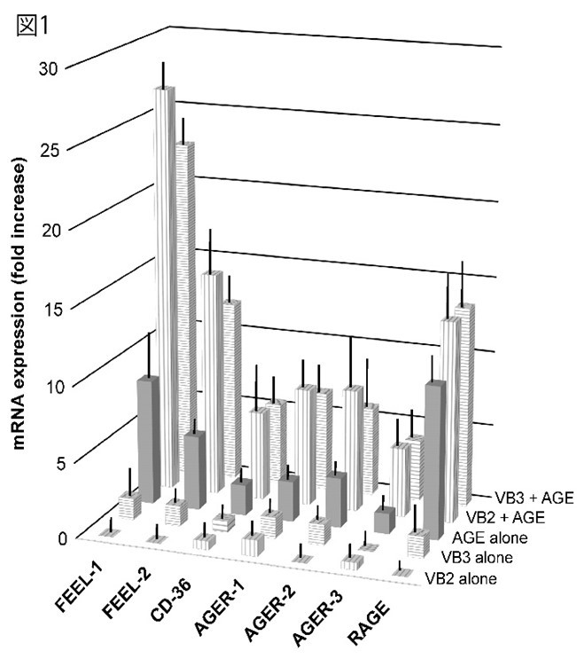
図1:抗糖化作用:AGE受容体-mRNAの発現
糖化反応は、生物全体の老化や疾患に関与するAGEsを生成する。
VB化合物(VB2/VB3)を単独で正常な皮膚繊維芽細胞に添加しても、AGE受容体のmRNA発現に大きな変化はなかったが、刺激としてAGEが付加された状態でVBを添加させた際には、AGEsの分解・除去に関わる AGE受容体、特にFEEL-1,-2のmRNAレベルを有意に上昇させた。

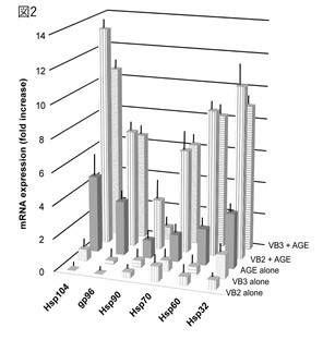
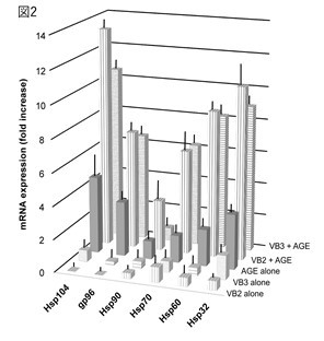
図2:抗糖化作用:Hsp-mRNAの発現
細胞が熱や紫外線、活性酸素等からストレスを受けた際には、細胞を保護するHsp(ヒートショックプロテイン)が発現する。
VB化合物(VB2/VB3)を単独で正常な皮膚繊維芽細胞に添加しても、HspのmRNA発現に大きな変化は見られなかったが、刺激としてAGEが付加された状態でVBを添加させた際には、特に細胞内タンパク質の品質を保持するようなHspの誘導が示された。

図3:酸化ストレス測定:細胞生存率
皮膚線維芽細胞に過酸化水素(H2O2)による酸化ストレスを付加する前後で、VB化合物(VB2/VB3)を添加し、細胞生存率の変化を検証した。
皮膚繊維芽細胞に酸化ストレスを与えると、細胞生存率が59%にまで低下する実験系において、VBを添加すると、細胞生存率は濃度依存的に上昇し、最大で76%(VB2)、78%(VB3)となった。またVBを添加するタイミングは、酸化ストレスを与える前(前処理)の方が、後処理より細胞生存率が有意に高く、より強い細胞保護作用が認められた。

図4-a:細胞内活性酸素(ROS)に対する効果
皮膚線維芽細胞に過酸化水素(H2O2)による酸化ストレスを付加する前後で、VB化合物(VB2/VB3)を添加し、細胞内のROS(活性酸素)に対する効果を検証した。
皮膚繊維芽細胞に酸化ストレスを与えると、細胞内のROSは370%に上昇する実験系において、VBを添加すると、VB2、VB3ともに濃度依存的にROSの上昇を抑制する効果が認められた。また予めVBを添加(前処理)した方が、その抑制効果は強かった。

図4-b:活性酸素を分解する酵素(SOD)生成に対する効果
皮膚線維芽細胞に過酸化水素(H2O2)による酸化ストレスを付加する前後で、VB化合物(VB2/VB3)を添加し、細胞内のSOD(活性酸素分解酵素)の回復効果を検証した。
酸化ストレスを与えると、細胞内のSODの産出は56%に抑制される実験系において、VBを添加すると、VB2、VB3ともに濃度依存的にSODの抑制を回復させる傾向が認められた。

図 5:皮膚線維芽細胞活性化に関わるアクアポリン(AQP-1,-3)の抑制回復効果
皮膚線維芽細胞に過酸化水素(H2O2)による酸化ストレスを付加する前後で、VB化合物(VB2/VB3)を添加し、皮膚の保湿に関わる因子であるアクアポリンの1型と3型のmRNAを測定した。
酸化ストレスを与えると細胞表面に発現するアクアポリンのレベルが低下することが明らかになったが、VBを添加すると、VB2、VB3ともに濃度依存的に回復する現象が確認された。予めVBを添加(前処理)した方が、回復能力が強い傾向にあった。

図6:ヒアルロン酸及びエラスチンの抑制回復効果
皮膚線維芽細胞に過酸化水素(H2O2)による酸化ストレスを付加する前後で、VB化合物(VB2/VB3)を添加し、皮膚の保湿に効果的であるヒアルロン酸及び、皮膚の再生に有効なエラスチンの回復効果を検証した。
皮膚線維芽細胞から培養上清中に分泌されるヒアルロン酸量は、酸化ストレスにより半分に減少したが、VBを添加すると、VB2、VB3ともに回復傾向が認められた。予めVB添加(前処理)した方が回復能力が強い傾向にあった。また、エラスチン生成量は酸化ストレスにより 56%に抑制されたが、予めVBを添加した前処理では、VB2、VB3ともに著しい回復を見せ、濃度によってはコントロール以上に有意に高い生成量を示す結果となった。尚、後処理では有意な変化はみられなかった。

図7:酸化ストレスと抗酸化作用とのバランスの重要性
(a)ストレスがない通常の環境下において、VB化合物(VB2/VB3)を添加しても、細胞内に変化はなく、抗酸化物質作用と活性酸素とのバランスが保たれている。
(b)AGEやH2O2が付加され細胞内のROSが蓄積すると、酸化ストレス状態となり、細胞内のバランスが崩れ、様々な疾患の原因となる。
(c)AGEやH2O2が付加され細胞内のROSが蓄積し、酸化ストレス状態の時にVBを添加すると、VB2、VB3は抗酸化物質の産出を増加させたり、ストレスに対する細胞反応を強くするなど、細胞内のバランスを保つよう抗酸化物質の効果をサポートする。

FSX株式会社について
「おしぼりは物のサービスではなく心のサービス」を理念に、1967年に貸しおしぼり業の「藤波タオルサービス」として創業。以来、東京・国立市を本拠地として、おしぼりを軸とした事業活動は多岐にわたっています。おしぼりの素材や加工機開発に始まり、香り(アロマ)をつける特許技術、抗ウイルス・抗菌の衛生技術『VB(ブイビー)』、おしぼりを最適な温度で提供するおしぼり冷温庫『REION』の開発と、ソフトとハードの両面からおしぼりの価値を創造する開発を行う他、EC運営や同業者向けフランチャイズ事業等も手がけ、品質の高い製品・サービスの企画・製造・販売を行っています。
創業50年を機に、社名を「FSX株式会社」に一新し、次の50年に向けて、おしぼりの新たな可能性を引き出し、国内外へ広くOSHIBORI文化を広めるための革新的なサービスを創造する事業を展開していきます。
VBについて
『VB(ブイビー)』は、おしぼりにおいて一番重要となる「衛生面」に着目し開発されたFSX が誇る特許技術です。世界初の抗ウイルス・抗菌のおしぼりを可能にする水溶液で、おしぼり上にある菌より細かなウイルスも99.99%抑制します。経口毒性や皮膚への刺激性等もないので、肌の弱いお年寄りやお子様にも安心してお使いいただけます。









